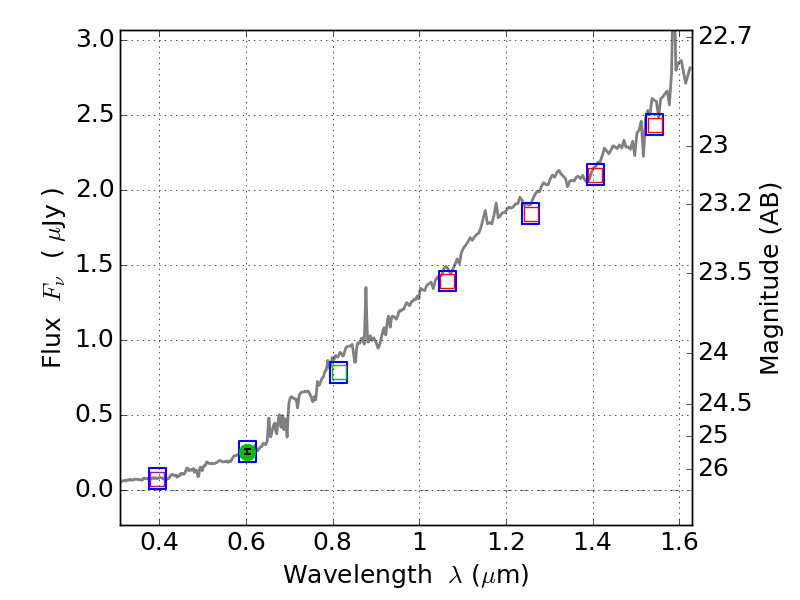
RXS0603+42-S IR detection object #1340

Color images and BPZ results
Catalog: 1340.cat
Black segments are analyzed here.   Roll mouse over color images to view segments.
Best viewed in a wide browser window (1200 pixels or more).   Download SED & P(z) plots to view larger versions.
In P(z) plots: Yellow lines mark the cluster redshift z = 0.228,  

Object #1340   x,y = (3979, 3763)   RA, Dec = (06:03:18.432, 42:11:12.12) = (90.82680, 42.18670)   BPZ = 0.752 [0.190--4.630]   type = 6.10 (Sbc_B10 - Scd_B10)   stellarity = 0.98   chisq2 = 990.00   ODDS = 0.08   z_cluster = 0.228