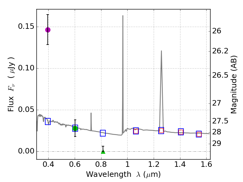
RXS0603+42-S IR detection object #1314

Color images and BPZ results
Catalog: 1314.cat
Black segments are analyzed here.   Roll mouse over color images to view segments.
Best viewed in a wide browser window (1200 pixels or more).   Download SED & P(z) plots to view larger versions.
In P(z) plots: Yellow lines mark the cluster redshift z = 0.228,  

Object #1314   x,y = (2424, 3774)   RA, Dec = (06:03:26.832, 42:11:12.84) = (90.86180, 42.18690)   BPZ = 1.594 [1.140--2.302]   type = 11.00 (SB11_A_0_l)   stellarity = 0.38   chisq2 = 47.33   ODDS = 0.29   z_cluster = 0.228