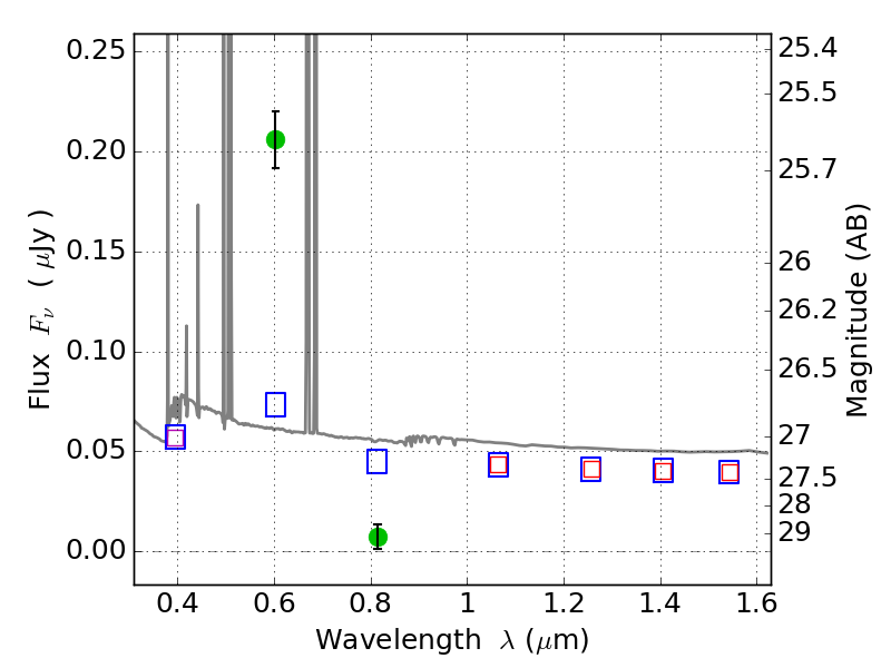
RXS0603+42-S IR detection object #1236

Color images and BPZ results
Catalog: 1236.cat
Black segments are analyzed here.   Roll mouse over color images to view segments.
Best viewed in a wide browser window (1200 pixels or more).   Download SED & P(z) plots to view larger versions.
In P(z) plots: Yellow lines mark the cluster redshift z = 0.228,  

Object #1236   x,y = (3822, 3805)   RA, Dec = (06:03:19.272, 42:11:14.64) = (90.83030, 42.18740)   BPZ = 0.021 [0.010--0.050]   type = 11.00 (SB11_A_0_l)   stellarity = 0.99   chisq2 = 101.70   ODDS = 0.98   z_cluster = 0.228