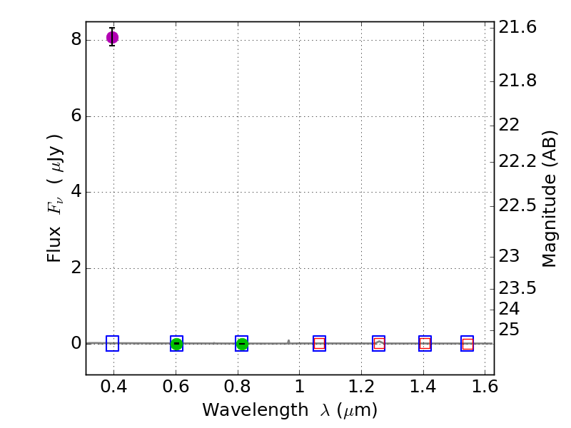
RXS0603+42-S IR detection object #1211

Color images and BPZ results
Catalog: 1211.cat
Black segments are analyzed here.   Roll mouse over color images to view segments.
Best viewed in a wide browser window (1200 pixels or more).   Download SED & P(z) plots to view larger versions.
In P(z) plots: Yellow lines mark the cluster redshift z = 0.228,  

Object #1211   x,y = (3433, 3814)   RA, Dec = (06:03:21.384, 42:11:15.00) = (90.83910, 42.18750)   BPZ = 1.590 [0.325--6.471]   type = 11.00 (SB11_A_0_l)   stellarity = 1.00   chisq2 = 1144.00   ODDS = 0.10   z_cluster = 0.228