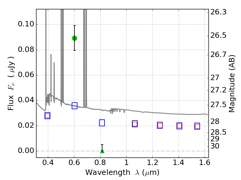
RXS0603+42-S IR detection object #1173

Color images and BPZ results
Catalog: 1173.cat
Black segments are analyzed here.   Roll mouse over color images to view segments.
Best viewed in a wide browser window (1200 pixels or more).   Download SED & P(z) plots to view larger versions.
In P(z) plots: Yellow lines mark the cluster redshift z = 0.228,  

Object #1173   x,y = (3690, 3830)   RA, Dec = (06:03:19.992, 42:11:16.08) = (90.83330, 42.18780)   BPZ = 0.026 [0.017--3.063]   type = 11.00 (SB11_A_0_l)   stellarity = 0.72   chisq2 = 44.46   ODDS = 0.15   z_cluster = 0.228