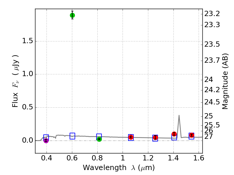
RXS0603+42-S ACS+IR detection object #8116

Color images and BPZ results
Catalog: 8116.cat
Black segments are analyzed here.   Roll mouse over color images to view segments.
Best viewed in a wide browser window (1200 pixels or more).   Download SED & P(z) plots to view larger versions.
In P(z) plots: Yellow lines mark the cluster redshift z = 0.228,  

Object #8116   x,y = (2394, 1340)   RA, Dec = (06:03:27.000, 42:08:46.68) = (90.86250, 42.14630)   BPZ = 2.878 [1.313--3.172]   type = 11.00 (SB11_A_0_l)   stellarity = 0.97   chisq2 = 229.60   ODDS = 0.33   z_cluster = 0.228