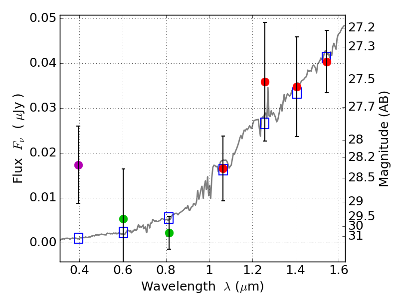
RXS0603+42-S ACS+IR detection object #7880

Color images and BPZ results
Catalog: 7880.cat
Black segments are analyzed here.   Roll mouse over color images to view segments.
Best viewed in a wide browser window (1200 pixels or more).   Download SED & P(z) plots to view larger versions.
In P(z) plots: Yellow lines mark the cluster redshift z = 0.228,  

Object #7880   x,y = (2132, 1435)   RA, Dec = (06:03:28.392, 42:08:52.44) = (90.86830, 42.14790)   BPZ = 1.544 [1.040--8.304]   type = 6.00 (Sbc_B10)   stellarity = 0.35   chisq2 = 1.08   ODDS = 0.13   z_cluster = 0.228