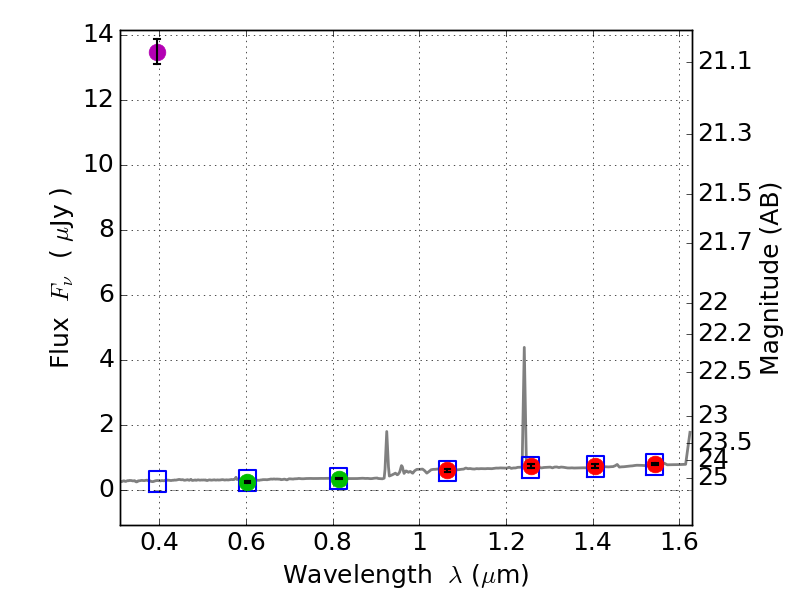
RXS0603+42-S ACS+IR detection object #7662

Color images and BPZ results
Catalog: 7662.cat
Black segments are analyzed here.   Roll mouse over color images to view segments.
Best viewed in a wide browser window (1200 pixels or more).   Download SED & P(z) plots to view larger versions.
In P(z) plots: Yellow lines mark the cluster redshift z = 0.228,  

Object #7662   x,y = (3632, 1593)   RA, Dec = (06:03:20.304, 42:09:01.80) = (90.83460, 42.15050)   BPZ = 1.484 [1.265--1.679]   type = 9.30 (SB2_B10 - SB3_B10)   stellarity = 0.94   chisq2 = 271.40   ODDS = 0.68   z_cluster = 0.228