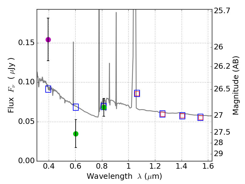
RXS0603+42-S ACS+IR detection object #6845

Color images and BPZ results
Catalog: 6845.cat
Black segments are analyzed here.   Roll mouse over color images to view segments.
Best viewed in a wide browser window (1200 pixels or more).   Download SED & P(z) plots to view larger versions.
In P(z) plots: Yellow lines mark the cluster redshift z = 0.228,  

Object #6845   x,y = (1472, 1746)   RA, Dec = (06:03:31.968, 42:09:11.16) = (90.88320, 42.15310)   BPZ = 1.091 [0.590--2.307]   type = 11.00 (SB11_A_0_l)   stellarity = 0.06   chisq2 = 8.45   ODDS = 0.15   z_cluster = 0.228