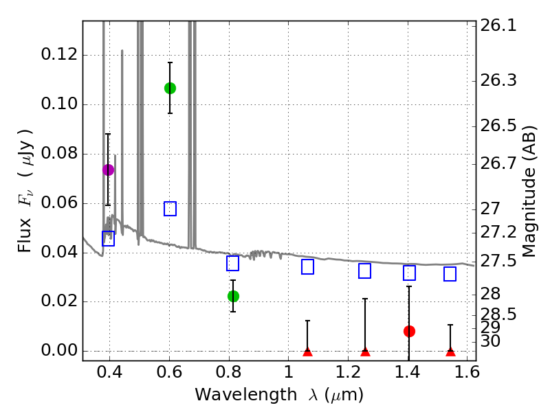
RXS0603+42-S ACS+IR detection object #5190

Color images and BPZ results
Catalog: 5190.cat
Black segments are analyzed here.   Roll mouse over color images to view segments.
Best viewed in a wide browser window (1200 pixels or more).   Download SED & P(z) plots to view larger versions.
In P(z) plots: Yellow lines mark the cluster redshift z = 0.228,  

Object #5190   x,y = (3616, 2568)   RA, Dec = (06:03:20.400, 42:10:00.48) = (90.83500, 42.16680)   BPZ = 0.025 [0.010--2.521]   type = 11.00 (SB11_A_0_l)   stellarity = 0.41   chisq2 = 11.29   ODDS = 0.87   z_cluster = 0.228