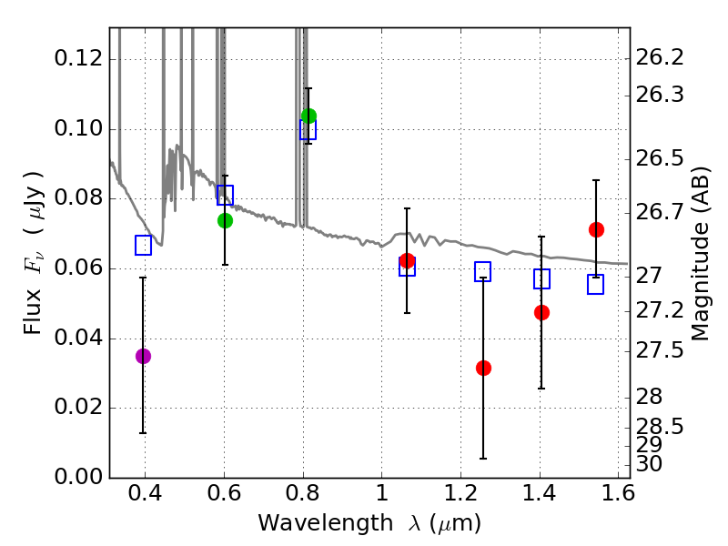
RXS0603+42-S ACS+IR detection object #5045

Color images and BPZ results
Catalog: 5045.cat
Black segments are analyzed here.   Roll mouse over color images to view segments.
Best viewed in a wide browser window (1200 pixels or more).   Download SED & P(z) plots to view larger versions.
In P(z) plots: Yellow lines mark the cluster redshift z = 0.228,  

Object #5045   x,y = (3209, 2494)   RA, Dec = (06:03:22.584, 42:09:55.80) = (90.84410, 42.16550)   BPZ = 0.197 [0.096--4.064]   type = 11.00 (SB11_A_0_l)   stellarity = 0.62   chisq2 = 1.13   ODDS = 0.40   z_cluster = 0.228