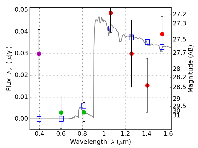
RXS0603+42-S ACS+IR detection object #4604

Color images and BPZ results
Catalog: 4604.cat
Black segments are analyzed here.   Roll mouse over color images to view segments.
Best viewed in a wide browser window (1200 pixels or more).   Download SED & P(z) plots to view larger versions.
In P(z) plots: Yellow lines mark the cluster redshift z = 0.228,  

Object #4604   x,y = (2216, 2690)   RA, Dec = (06:03:27.960, 42:10:07.68) = (90.86650, 42.16880)   BPZ = 6.447 [1.116--7.132]   type = 11.00 (SB11_A_0_l)   stellarity = 0.35   chisq2 = 2.73   ODDS = 0.55   z_cluster = 0.228