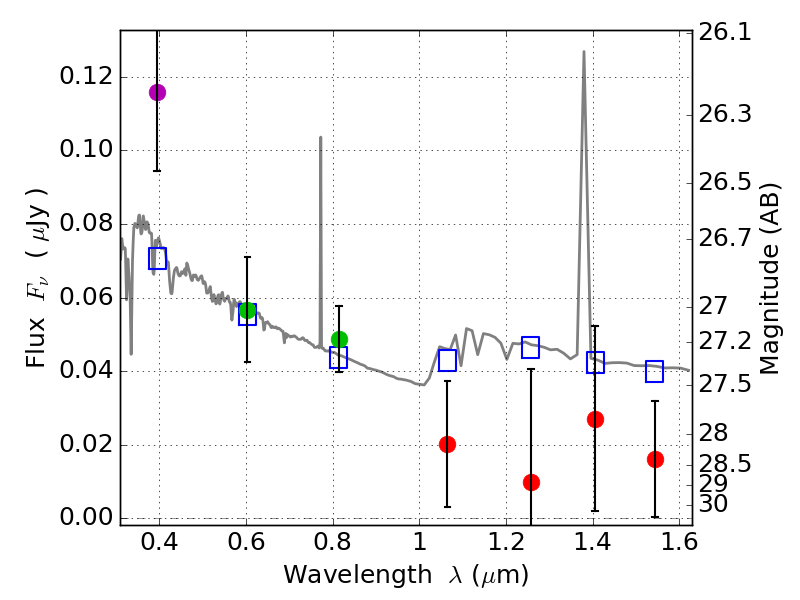
RXS0603+42-S ACS+IR detection object #3820

Color images and BPZ results
Catalog: 3820.cat
Black segments are analyzed here.   Roll mouse over color images to view segments.
Best viewed in a wide browser window (1200 pixels or more).   Download SED & P(z) plots to view larger versions.
In P(z) plots: Yellow lines mark the cluster redshift z = 0.228,  

Object #3820   x,y = (2922, 3040)   RA, Dec = (06:03:24.144, 42:10:28.56) = (90.85060, 42.17460)   BPZ = 1.764 [0.119--2.652]   type = 11.00 (SB11_A_0_l)   stellarity = 0.41   chisq2 = 2.47   ODDS = 0.21   z_cluster = 0.228