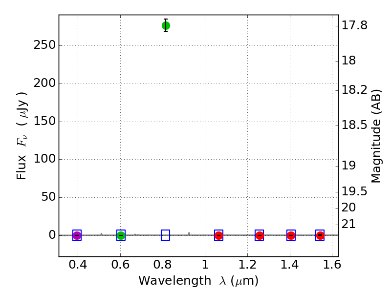
RXS0603+42-S ACS+IR detection object #3688

Color images and BPZ results
Catalog: 3688.cat
Black segments are analyzed here.   Roll mouse over color images to view segments.
Best viewed in a wide browser window (1200 pixels or more).   Download SED & P(z) plots to view larger versions.
In P(z) plots: Yellow lines mark the cluster redshift z = 0.228,  

Object #3688   x,y = (2877, 3241)   RA, Dec = (06:03:24.384, 42:10:40.80) = (90.85160, 42.17800)   BPZ = 0.019 [0.010--0.156]   type = 9.50 (SB3_B10 - SB2_B10)   stellarity = 1.00   chisq2 = 292.30   ODDS = 0.83   z_cluster = 0.228