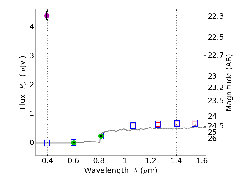
RXS0603+42-S ACS+IR detection object #3613

Color images and BPZ results
Catalog: 3613.cat
Black segments are analyzed here.   Roll mouse over color images to view segments.
Best viewed in a wide browser window (1200 pixels or more).   Download SED & P(z) plots to view larger versions.
In P(z) plots: Yellow lines mark the cluster redshift z = 0.228,  

Object #3613   x,y = (4188, 3065)   RA, Dec = (06:03:17.304, 42:10:30.36) = (90.82210, 42.17510)   BPZ = 5.647 [1.056--8.622]   type = 9.00 (SB2_B10)   stellarity = 0.92   chisq2 = 960.90   ODDS = 0.28   z_cluster = 0.228