RXS0603+42-S ACS+IR detection object #2913

Color images and BPZ results
Catalog: 2913.cat
Black segments are analyzed here.   Roll mouse over color images to view segments.
Best viewed in a wide browser window (1200 pixels or more).   Download SED & P(z) plots to view larger versions.
In P(z) plots: Yellow lines mark the cluster redshift z = 0.228,  

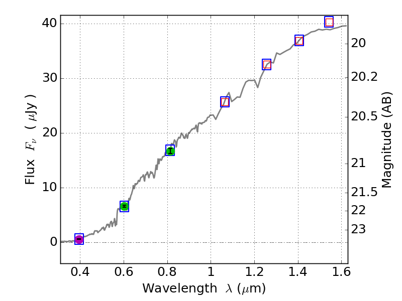
Object #2913   x,y = (3829, 3354)   RA, Dec = (06:03:19.248, 42:10:47.64) = (90.83020, 42.17990)   BPZ = 0.433 [0.343--0.474]   type = 3.30 (Ell5_A_0 - Ell4_A_0)   stellarity = 0.97   chisq2 = 0.00   ODDS = 0.84   z_cluster = 0.228