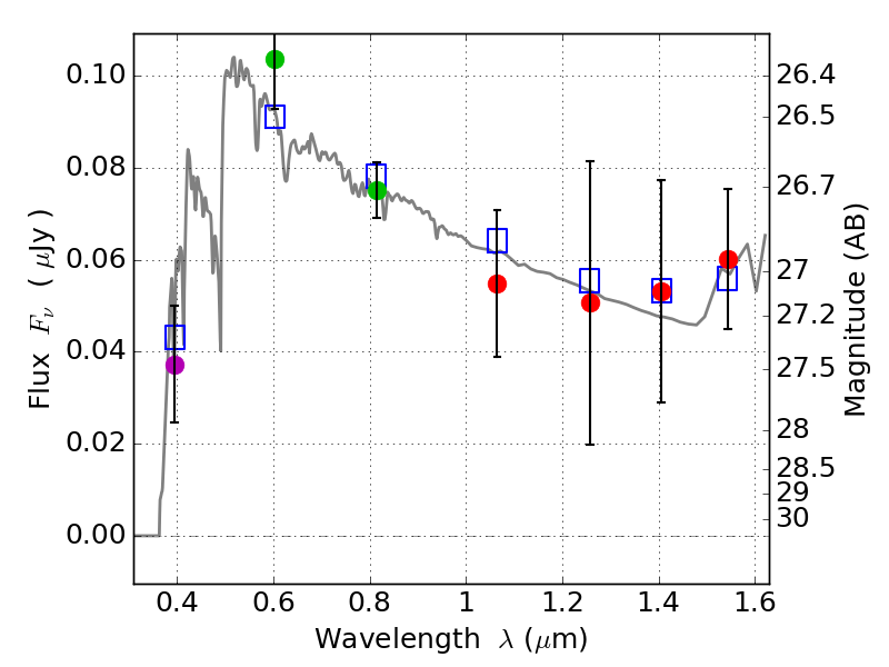
RXS0603+42-S ACS+IR detection object #2485

Color images and BPZ results
Catalog: 2485.cat
Black segments are analyzed here.   Roll mouse over color images to view segments.
Best viewed in a wide browser window (1200 pixels or more).   Download SED & P(z) plots to view larger versions.
In P(z) plots: Yellow lines mark the cluster redshift z = 0.228,  

Object #2485   x,y = (2616, 3557)   RA, Dec = (06:03:25.800, 42:10:59.88) = (90.85750, 42.18330)   BPZ = 3.036 [0.495--3.334]   type = 11.00 (SB11_A_0_l)   stellarity = 0.12   chisq2 = 0.43   ODDS = 0.73   z_cluster = 0.228