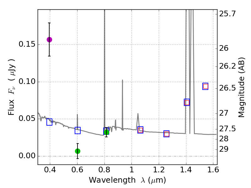
RXS0603+42-S ACS+IR detection object #1435

Color images and BPZ results
Catalog: 1435.cat
Black segments are analyzed here.   Roll mouse over color images to view segments.
Best viewed in a wide browser window (1200 pixels or more).   Download SED & P(z) plots to view larger versions.
In P(z) plots: Yellow lines mark the cluster redshift z = 0.228,  

Object #1435   x,y = (3135, 3901)   RA, Dec = (06:03:22.992, 42:11:20.40) = (90.84580, 42.18900)   BPZ = 1.151 [0.618--2.296]   type = 11.00 (SB11_A_0_l)   stellarity = 0.49   chisq2 = 28.52   ODDS = 0.14   z_cluster = 0.228