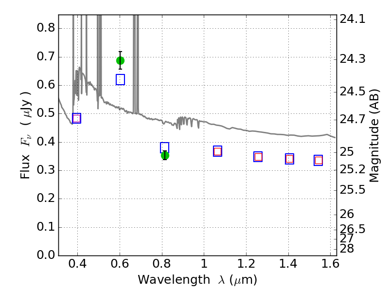
RXS0603+42-S ACS+IR detection object #1329

Color images and BPZ results
Catalog: 1329.cat
Black segments are analyzed here.   Roll mouse over color images to view segments.
Best viewed in a wide browser window (1200 pixels or more).   Download SED & P(z) plots to view larger versions.
In P(z) plots: Yellow lines mark the cluster redshift z = 0.228,  

Object #1329   x,y = (3230, 3925)   RA, Dec = (06:03:22.488, 42:11:21.84) = (90.84370, 42.18940)   BPZ = 0.021 [0.010--0.044]   type = 11.00 (SB11_A_0_l)   stellarity = 0.03   chisq2 = 2.15   ODDS = 1.00   z_cluster = 0.228