RXS0603+42-S IR detection object #951

Color images and BPZ results
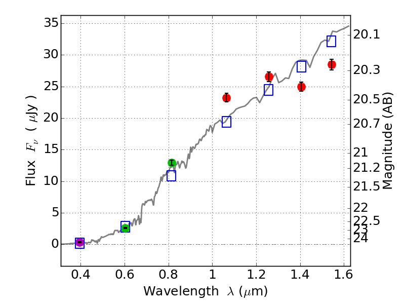
Catalog: 951.cat
Black segments are analyzed here.   Roll mouse over color images to view segments.
Best viewed in a wide browser window (1200 pixels or more).   Download SED & P(z) plots to view larger versions.
In P(z) plots: Yellow lines mark the cluster redshift z = 0.228,  

Object #951   x,y = (2978, 1330)   RA, Dec = (06:03:23.832, 42:08:45.96) = (90.84930, 42.14610)   BPZ = 0.699 [0.666--0.723]   type = 4.00 (Ell4_A_0)   stellarity = 0.98   chisq2 = 2.28   ODDS = 1.00   z_cluster = 0.228