RXS0603+42-S IR detection object #913

Color images and BPZ results
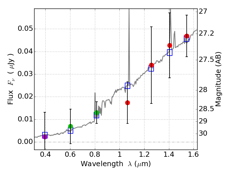
Catalog: 913.cat
Black segments are analyzed here.   Roll mouse over color images to view segments.
Best viewed in a wide browser window (1200 pixels or more).   Download SED & P(z) plots to view larger versions.
In P(z) plots: Yellow lines mark the cluster redshift z = 0.228,  

Object #913   x,y = (3416, 1437)   RA, Dec = (06:03:21.480, 42:08:52.44) = (90.83950, 42.14790)   BPZ = 1.150 [0.475--4.210]   type = 6.70 (Scd_B10 - Sbc_B10)   stellarity = 0.08   chisq2 = 0.19   ODDS = 0.10   z_cluster = 0.228