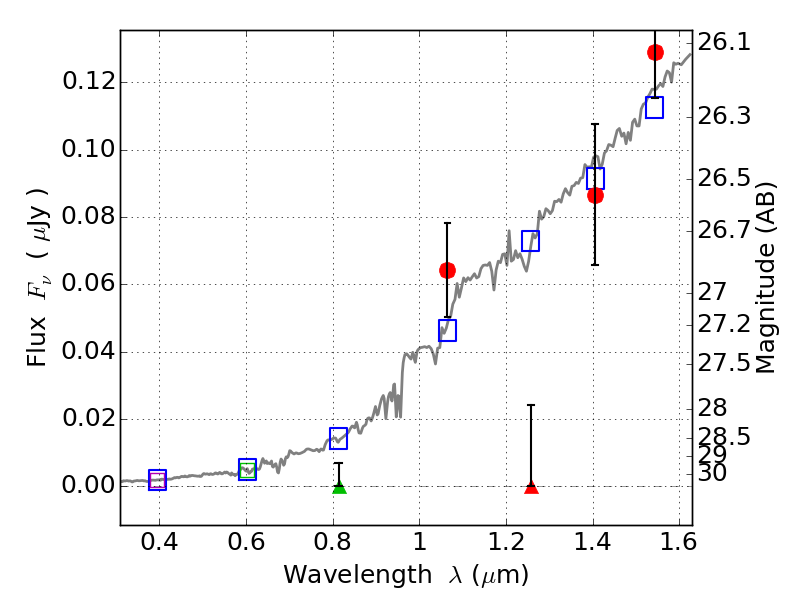
RXS0603+42-S IR detection object #909

Color images and BPZ results
Catalog: 909.cat
Black segments are analyzed here.   Roll mouse over color images to view segments.
Best viewed in a wide browser window (1200 pixels or more).   Download SED & P(z) plots to view larger versions.
In P(z) plots: Yellow lines mark the cluster redshift z = 0.228,  

Object #909   x,y = (1705, 1425)   RA, Dec = (06:03:30.696, 42:08:51.72) = (90.87790, 42.14770)   BPZ = 1.411 [1.124--7.309]   type = 5.70 (Sbc_B10 - ES0_B10)   stellarity = 0.00   chisq2 = 6.33   ODDS = 0.28   z_cluster = 0.228