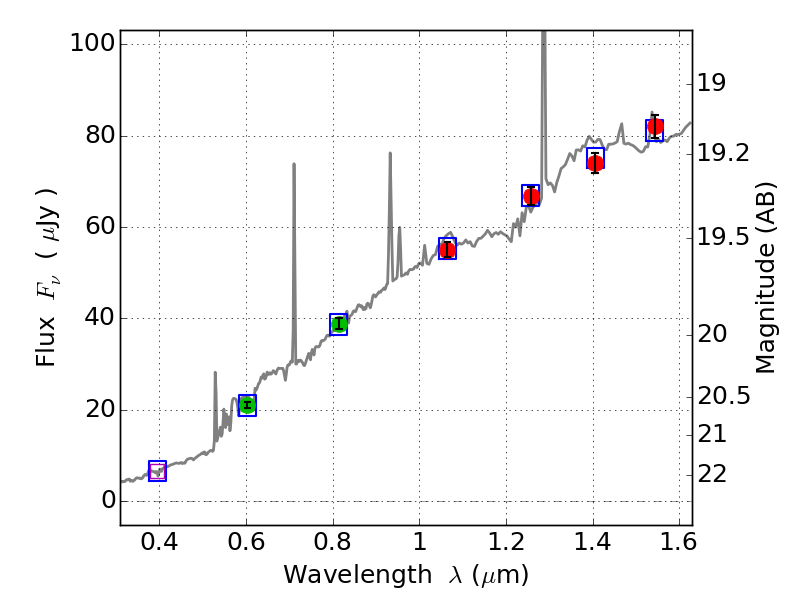
RXS0603+42-S IR detection object #894

Color images and BPZ results
Catalog: 894.cat
Black segments are analyzed here.   Roll mouse over color images to view segments.
Best viewed in a wide browser window (1200 pixels or more).   Download SED & P(z) plots to view larger versions.
In P(z) plots: Yellow lines mark the cluster redshift z = 0.228,  

Object #894   x,y = (3563, 1437)   RA, Dec = (06:03:20.688, 42:08:52.44) = (90.83620, 42.14790)   BPZ = 0.419 [0.106--0.540]   type = 6.80 (Scd_B10 - Sbc_B10)   stellarity = 0.03   chisq2 = 0.02   ODDS = 0.29   z_cluster = 0.228