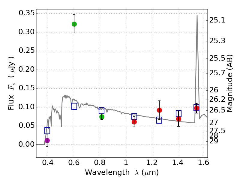
RXS0603+42-S IR detection object #878

Color images and BPZ results
Catalog: 878.cat
Black segments are analyzed here.   Roll mouse over color images to view segments.
Best viewed in a wide browser window (1200 pixels or more).   Download SED & P(z) plots to view larger versions.
In P(z) plots: Yellow lines mark the cluster redshift z = 0.228,  

Object #878   x,y = (1930, 1500)   RA, Dec = (06:03:29.496, 42:08:56.40) = (90.87290, 42.14900)   BPZ = 3.156 [2.830--3.406]   type = 11.00 (SB11_A_0_l)   stellarity = 0.02   chisq2 = 20.56   ODDS = 0.70   z_cluster = 0.228