RXS0603+42-S IR detection object #64

Color images and BPZ results
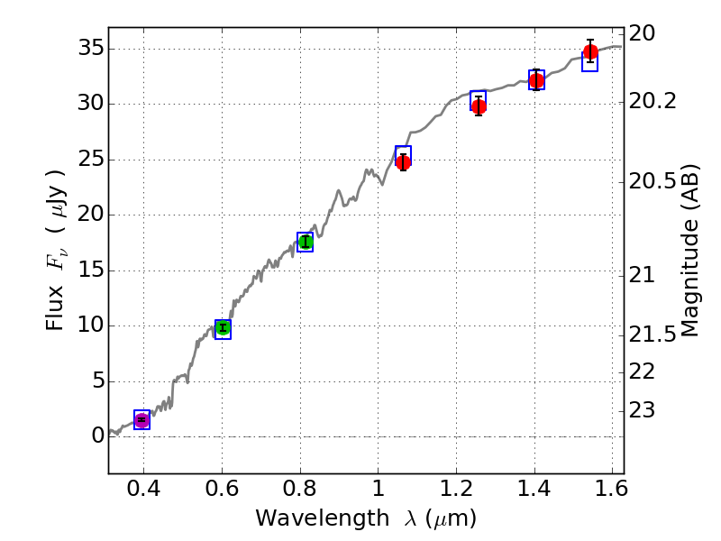
Catalog: 64.cat
Black segments are analyzed here.   Roll mouse over color images to view segments.
Best viewed in a wide browser window (1200 pixels or more).   Download SED & P(z) plots to view larger versions.
In P(z) plots: Yellow lines mark the cluster redshift z = 0.228,  

Object #64   x,y = (3144, 3479)   RA, Dec = (06:03:22.944, 42:10:55.20) = (90.84560, 42.18200)   BPZ = 0.193 [0.114--0.233]   type = 4.10 (Ell4_A_0 - ES0_B10)   stellarity = 0.03   chisq2 = 0.07   ODDS = 0.88   z_cluster = 0.228