RXS0603+42-S IR detection object #594

Color images and BPZ results
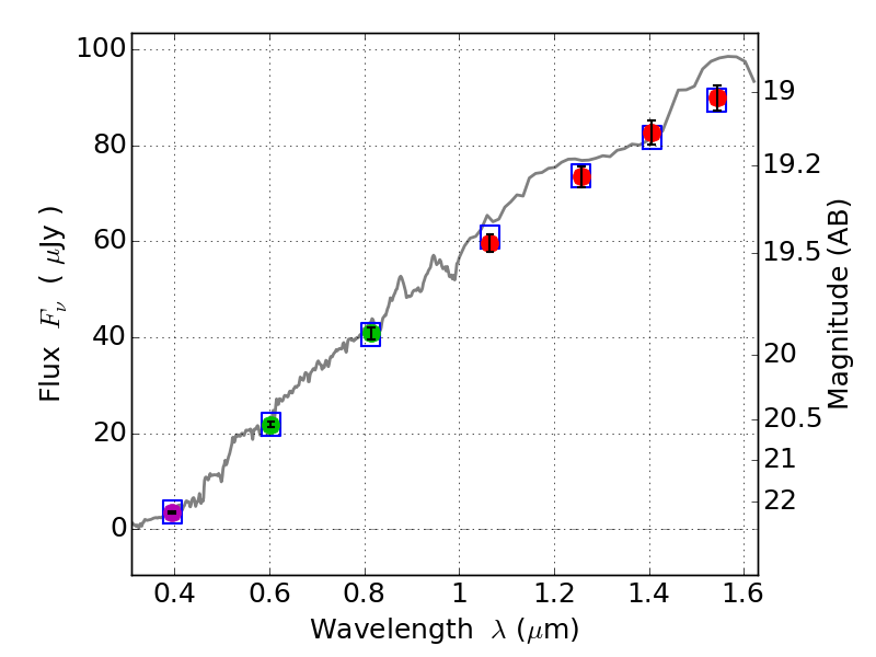
Catalog: 594.cat
Black segments are analyzed here.   Roll mouse over color images to view segments.
Best viewed in a wide browser window (1200 pixels or more).   Download SED & P(z) plots to view larger versions.
In P(z) plots: Yellow lines mark the cluster redshift z = 0.228,  

Object #594   x,y = (2639, 2098)   RA, Dec = (06:03:25.656, 42:09:32.04) = (90.85690, 42.15890)   BPZ = 0.161 [0.111--0.214]   type = 4.60 (ES0_B10 - Ell4_A_0)   stellarity = 0.03   chisq2 = 0.02   ODDS = 0.93   z_cluster = 0.228