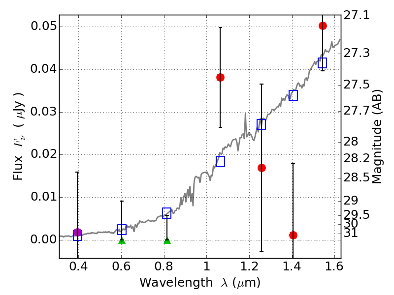
RXS0603+42-S IR detection object #584

Color images and BPZ results
Catalog: 584.cat
Black segments are analyzed here.   Roll mouse over color images to view segments.
Best viewed in a wide browser window (1200 pixels or more).   Download SED & P(z) plots to view larger versions.
In P(z) plots: Yellow lines mark the cluster redshift z = 0.228,  

Object #584   x,y = (1677, 2114)   RA, Dec = (06:03:30.864, 42:09:33.12) = (90.87860, 42.15920)   BPZ = 1.359 [0.599--7.411]   type = 6.00 (Sbc_B10)   stellarity = 0.00   chisq2 = 2.08   ODDS = 0.15   z_cluster = 0.228