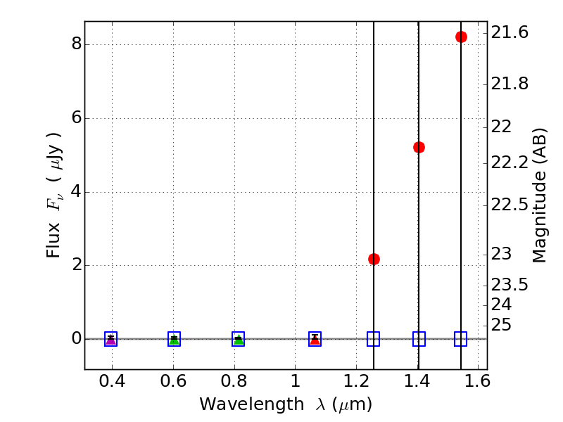
RXS0603+42-S IR detection object #543

Color images and BPZ results
Catalog: 543.cat
Black segments are analyzed here.   Roll mouse over color images to view segments.
Best viewed in a wide browser window (1200 pixels or more).   Download SED & P(z) plots to view larger versions.
In P(z) plots: Yellow lines mark the cluster redshift z = 0.228,  

Object #543   x,y = (3668, 2358)   RA, Dec = (06:03:20.112, 42:09:47.88) = (90.83380, 42.16330)   BPZ = 0.587 [0.133--2.667]   type = 6.00 (Sbc_B10)   stellarity = 0.85   chisq2 = 900.00   ODDS = 0.12   z_cluster = 0.228