RXS0603+42-S IR detection object #501

Color images and BPZ results
Catalog: 501.cat
Black segments are analyzed here.   Roll mouse over color images to view segments.
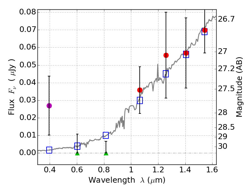
Best viewed in a wide browser window (1200 pixels or more).   Download SED & P(z) plots to view larger versions.
In P(z) plots: Yellow lines mark the cluster redshift z = 0.228,  

Object #501   x,y = (2042, 2396)   RA, Dec = (06:03:28.896, 42:09:50.04) = (90.87040, 42.16390)   BPZ = 1.395 [0.944--8.041]   type = 6.00 (Sbc_B10)   stellarity = 0.09   chisq2 = 1.04   ODDS = 0.15   z_cluster = 0.228