RXS0603+42-S IR detection object #40

Color images and BPZ results
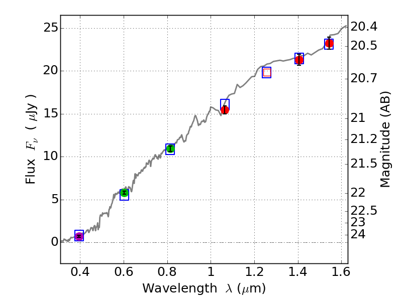
Catalog: 40.cat
Black segments are analyzed here.   Roll mouse over color images to view segments.
Best viewed in a wide browser window (1200 pixels or more).   Download SED & P(z) plots to view larger versions.
In P(z) plots: Yellow lines mark the cluster redshift z = 0.228,  

Object #40   x,y = (3009, 3529)   RA, Dec = (06:03:23.664, 42:10:58.08) = (90.84860, 42.18280)   BPZ = 0.226 [0.140--0.290]   type = 4.30 (Ell4_A_0 - ES0_B10)   stellarity = 0.03   chisq2 = 0.07   ODDS = 0.81   z_cluster = 0.228