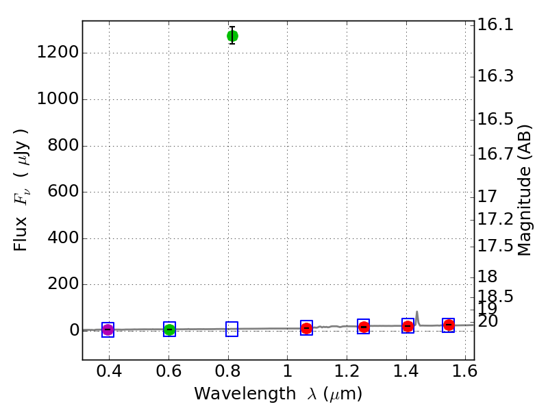
RXS0603+42-S IR detection object #390

Color images and BPZ results
Catalog: 390.cat
Black segments are analyzed here.   Roll mouse over color images to view segments.
Best viewed in a wide browser window (1200 pixels or more).   Download SED & P(z) plots to view larger versions.
In P(z) plots: Yellow lines mark the cluster redshift z = 0.228,  

Object #390   x,y = (3486, 2091)   RA, Dec = (06:03:21.096, 42:09:31.68) = (90.83790, 42.15880)   BPZ = 1.867 [1.815--2.194]   type = 8.20 (SB1_B10 - SB2_B10)   stellarity = 0.00   chisq2 = 284.70   ODDS = 0.83   z_cluster = 0.228