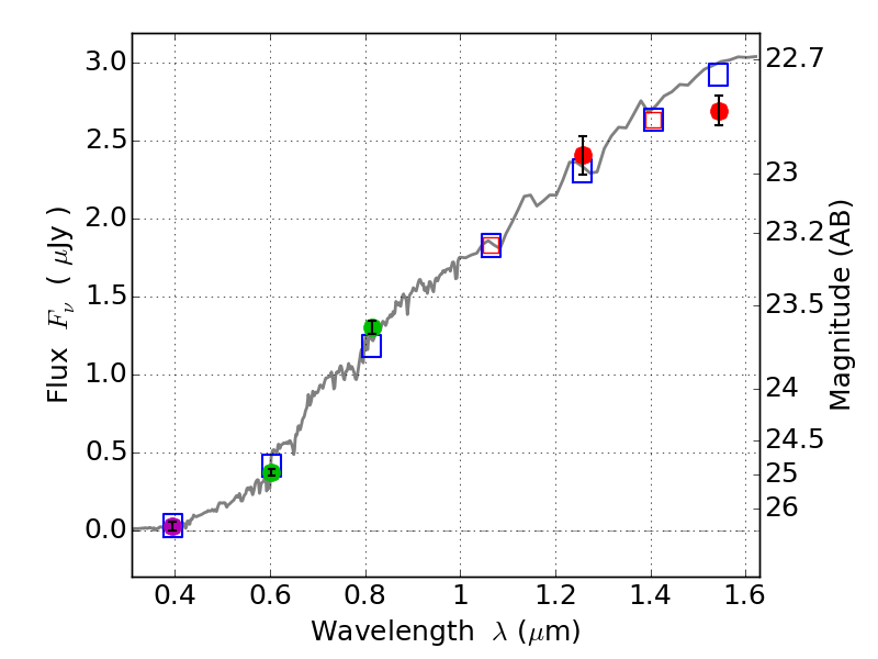
RXS0603+42-S IR detection object #31

Color images and BPZ results
Catalog: 31.cat
Black segments are analyzed here.   Roll mouse over color images to view segments.
Best viewed in a wide browser window (1200 pixels or more).   Download SED & P(z) plots to view larger versions.
In P(z) plots: Yellow lines mark the cluster redshift z = 0.228,  

Object #31   x,y = (2092, 3575)   RA, Dec = (06:03:28.608, 42:11:00.96) = (90.86920, 42.18360)   BPZ = 0.506 [0.426--4.502]   type = 4.00 (Ell4_A_0)   stellarity = 0.98   chisq2 = 0.86   ODDS = 0.86   z_cluster = 0.228