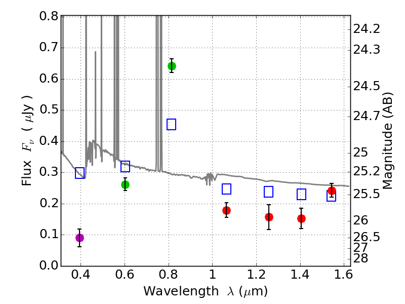
RXS0603+42-S IR detection object #302

Color images and BPZ results
Catalog: 302.cat
Black segments are analyzed here.   Roll mouse over color images to view segments.
Best viewed in a wide browser window (1200 pixels or more).   Download SED & P(z) plots to view larger versions.
In P(z) plots: Yellow lines mark the cluster redshift z = 0.228,  

Object #302   x,y = (2242, 2840)   RA, Dec = (06:03:27.816, 42:10:16.68) = (90.86590, 42.17130)   BPZ = 0.137 [0.098--0.194]   type = 11.00 (SB11_A_0_l)   stellarity = 0.00   chisq2 = 15.47   ODDS = 0.95   z_cluster = 0.228