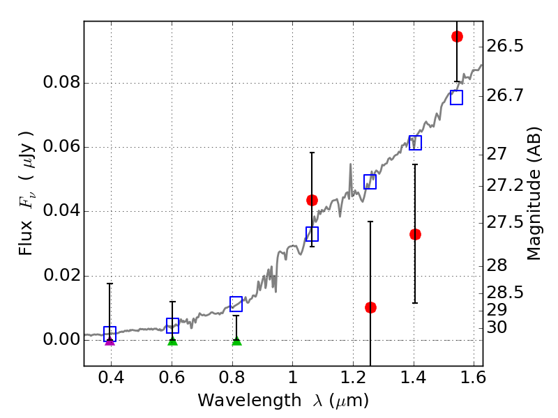
RXS0603+42-S IR detection object #253

Color images and BPZ results
Catalog: 253.cat
Black segments are analyzed here.   Roll mouse over color images to view segments.
Best viewed in a wide browser window (1200 pixels or more).   Download SED & P(z) plots to view larger versions.
In P(z) plots: Yellow lines mark the cluster redshift z = 0.228,  

Object #253   x,y = (3092, 2958)   RA, Dec = (06:03:23.232, 42:10:23.88) = (90.84680, 42.17330)   BPZ = 1.384 [0.918--8.278]   type = 6.00 (Sbc_B10)   stellarity = 0.28   chisq2 = 1.85   ODDS = 0.21   z_cluster = 0.228