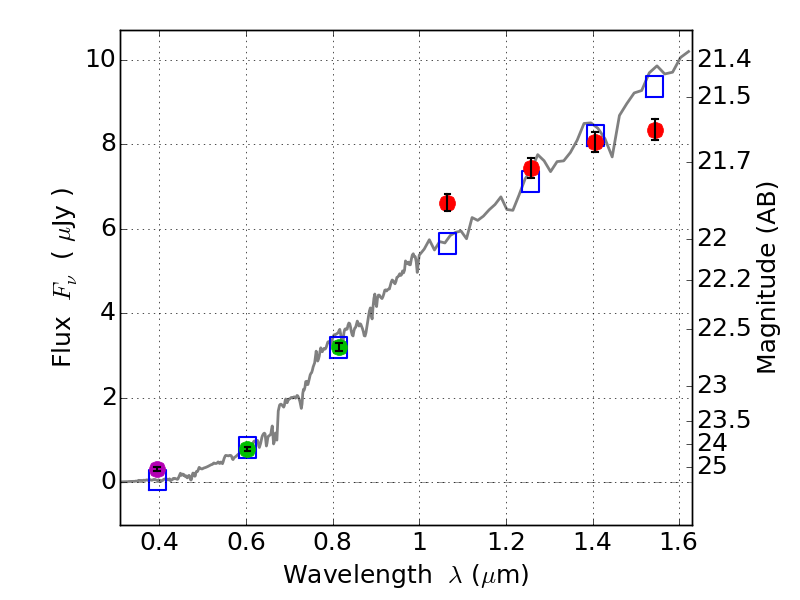
RXS0603+42-S IR detection object #222

Color images and BPZ results
Catalog: 222.cat
Black segments are analyzed here.   Roll mouse over color images to view segments.
Best viewed in a wide browser window (1200 pixels or more).   Download SED & P(z) plots to view larger versions.
In P(z) plots: Yellow lines mark the cluster redshift z = 0.228,  

Object #222   x,y = (2297, 3026)   RA, Dec = (06:03:27.504, 42:10:27.84) = (90.86460, 42.17440)   BPZ = 0.689 [0.651--0.782]   type = 4.00 (Ell4_A_0)   stellarity = 0.98   chisq2 = 1.24   ODDS = 0.97   z_cluster = 0.228