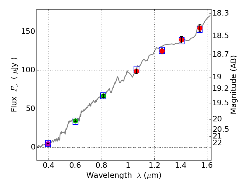
RXS0603+42-S IR detection object #221

Color images and BPZ results
Catalog: 221.cat
Black segments are analyzed here.   Roll mouse over color images to view segments.
Best viewed in a wide browser window (1200 pixels or more).   Download SED & P(z) plots to view larger versions.
In P(z) plots: Yellow lines mark the cluster redshift z = 0.228,  

Object #221   x,y = (2802, 2889)   RA, Dec = (06:03:24.792, 42:10:19.56) = (90.85330, 42.17210)   BPZ = 0.216 [0.179--0.271]   type = 4.60 (ES0_B10 - Ell4_A_0)   stellarity = 0.03   chisq2 = 0.02   ODDS = 0.96   z_cluster = 0.228