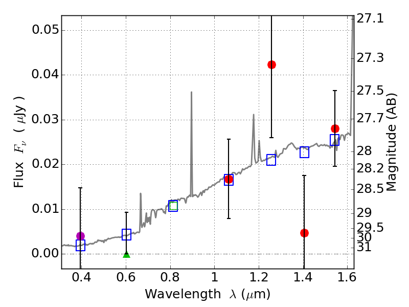
RXS0603+42-S IR detection object #217

Color images and BPZ results
Catalog: 217.cat
Black segments are analyzed here.   Roll mouse over color images to view segments.
Best viewed in a wide browser window (1200 pixels or more).   Download SED & P(z) plots to view larger versions.
In P(z) plots: Yellow lines mark the cluster redshift z = 0.228,  

Object #217   x,y = (1867, 3043)   RA, Dec = (06:03:29.832, 42:10:28.92) = (90.87430, 42.17470)   BPZ = 0.790 [0.339--7.037]   type = 6.90 (Scd_B10 - Sbc_B10)   stellarity = 0.08   chisq2 = 1.31   ODDS = 0.07   z_cluster = 0.228