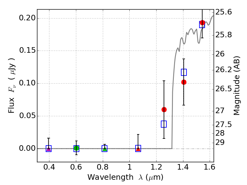
RXS0603+42-S IR detection object #19

Color images and BPZ results
Catalog: 19.cat
Black segments are analyzed here.   Roll mouse over color images to view segments.
Best viewed in a wide browser window (1200 pixels or more).   Download SED & P(z) plots to view larger versions.
In P(z) plots: Yellow lines mark the cluster redshift z = 0.228,  

Object #19   x,y = (2974, 3602)   RA, Dec = (06:03:23.856, 42:11:02.40) = (90.84940, 42.18400)   BPZ = 9.853 [8.224--11.449]   type = 9.00 (SB2_B10)   stellarity = 0.17   chisq2 = 0.10   ODDS = 0.53   z_cluster = 0.228