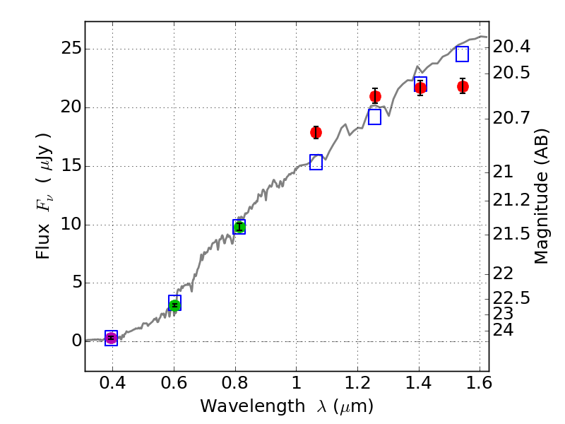
RXS0603+42-S IR detection object #177

Color images and BPZ results
Catalog: 177.cat
Black segments are analyzed here.   Roll mouse over color images to view segments.
Best viewed in a wide browser window (1200 pixels or more).   Download SED & P(z) plots to view larger versions.
In P(z) plots: Yellow lines mark the cluster redshift z = 0.228,  

Object #177   x,y = (2890, 3166)   RA, Dec = (06:03:24.312, 42:10:36.12) = (90.85130, 42.17670)   BPZ = 0.529 [0.478--0.568]   type = 4.00 (Ell4_A_0)   stellarity = 0.93   chisq2 = 1.44   ODDS = 0.98   z_cluster = 0.228