RXS0603+42-S IR detection object #1

Color images and BPZ results
Catalog: 1.cat
Black segments are analyzed here.   Roll mouse over color images to view segments.
Best viewed in a wide browser window (1200 pixels or more).   Download SED & P(z) plots to view larger versions.
In P(z) plots: Yellow lines mark the cluster redshift z = 0.228,  

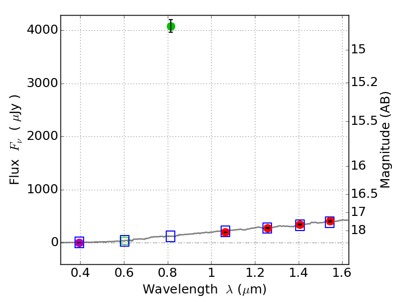
Object #1   x,y = (1839, 1898)   RA, Dec = (06:03:29.976, 42:09:20.16) = (90.87490, 42.15560)   BPZ = 0.606 [0.439--0.726]   type = 5.50 (Sbc_B10 - ES0_B10)   stellarity = 0.03   chisq2 = 344.30   ODDS = 0.64   z_cluster = 0.228