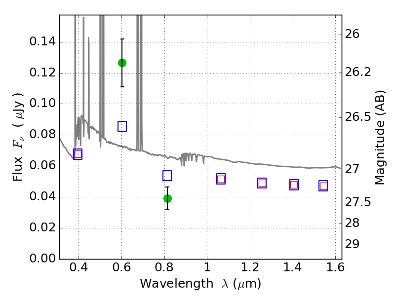
RXS0603+42-S IR detection object #904

Color images and BPZ results
Catalog: 904.cat
Black segments are analyzed here.   Roll mouse over color images to view segments.
Best viewed in a wide browser window (1200 pixels or more).   Download SED & P(z) plots to view larger versions.
In P(z) plots: Yellow lines mark the cluster redshift z = 0.228,  

Object #904   x,y = (3143, 3955)   RA, Dec = (06:03:22.944, 42:11:23.64) = (90.84560, 42.18990)   BPZ = 0.028 [0.023--3.065]   type = 11.00 (SB11_A_0_l)   stellarity = 0.75   chisq2 = 8.68   ODDS = 0.09   z_cluster = 0.228