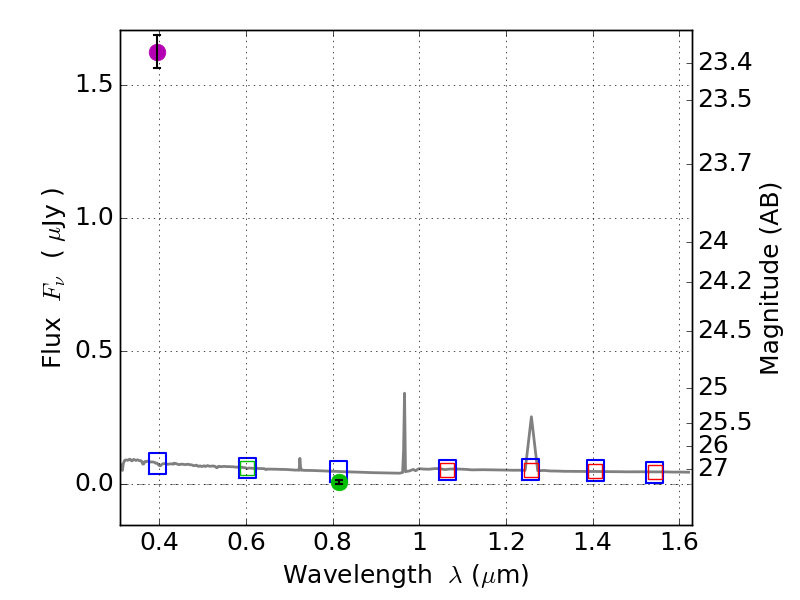
RXS0603+42-S IR detection object #886

Color images and BPZ results
Catalog: 886.cat
Black segments are analyzed here.   Roll mouse over color images to view segments.
Best viewed in a wide browser window (1200 pixels or more).   Download SED & P(z) plots to view larger versions.
In P(z) plots: Yellow lines mark the cluster redshift z = 0.228,  

Object #886   x,y = (1612, 3973)   RA, Dec = (06:03:31.200, 42:11:24.72) = (90.88000, 42.19020)   BPZ = 1.594 [1.342--2.034]   type = 11.00 (SB11_A_0_l)   stellarity = 0.67   chisq2 = 656.90   ODDS = 0.46   z_cluster = 0.228