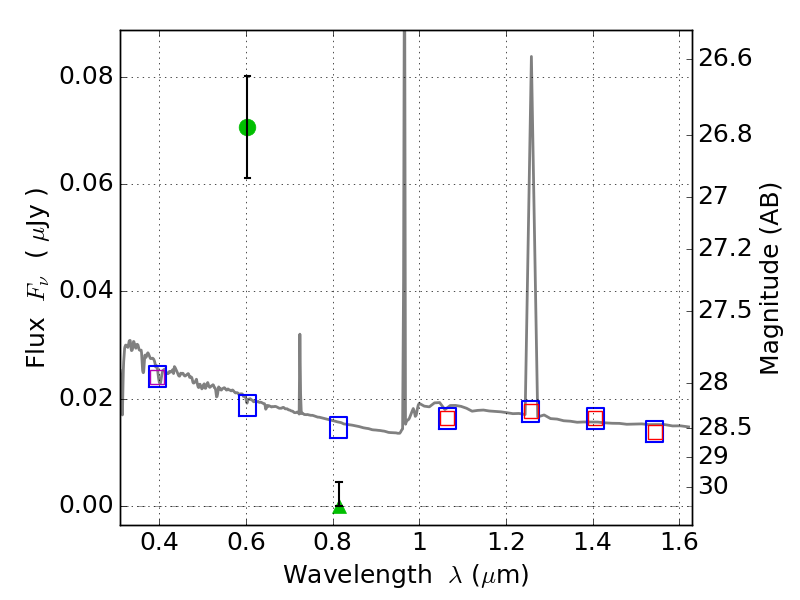
RXS0603+42-S IR detection object #860

Color images and BPZ results
Catalog: 860.cat
Black segments are analyzed here.   Roll mouse over color images to view segments.
Best viewed in a wide browser window (1200 pixels or more).   Download SED & P(z) plots to view larger versions.
In P(z) plots: Yellow lines mark the cluster redshift z = 0.228,  

Object #860   x,y = (3190, 3971)   RA, Dec = (06:03:22.704, 42:11:24.72) = (90.84460, 42.19020)   BPZ = 1.595 [0.051--3.353]   type = 11.00 (SB11_A_0_l)   stellarity = 0.63   chisq2 = 38.46   ODDS = 0.14   z_cluster = 0.228