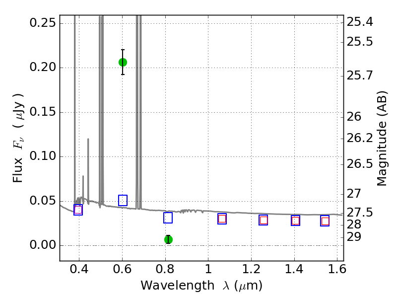
RXS0603+42-S IR detection object #757

Color images and BPZ results
Catalog: 757.cat
Black segments are analyzed here.   Roll mouse over color images to view segments.
Best viewed in a wide browser window (1200 pixels or more).   Download SED & P(z) plots to view larger versions.
In P(z) plots: Yellow lines mark the cluster redshift z = 0.228,  

Object #757   x,y = (3249, 4020)   RA, Dec = (06:03:22.368, 42:11:27.60) = (90.84320, 42.19100)   BPZ = 0.022 [0.010--2.491]   type = 11.00 (SB11_A_0_l)   stellarity = 0.99   chisq2 = 137.30   ODDS = 0.86   z_cluster = 0.228