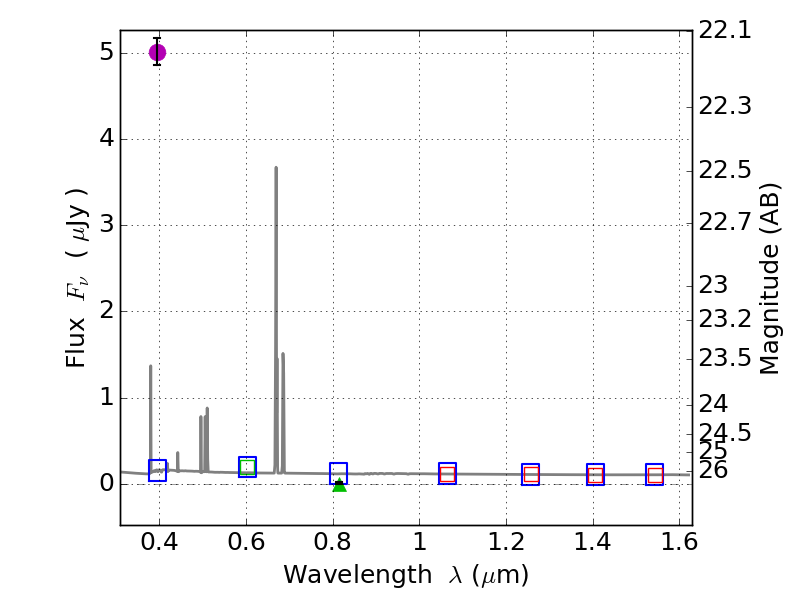
RXS0603+42-S IR detection object #754

Color images and BPZ results
Catalog: 754.cat
Black segments are analyzed here.   Roll mouse over color images to view segments.
Best viewed in a wide browser window (1200 pixels or more).   Download SED & P(z) plots to view larger versions.
In P(z) plots: Yellow lines mark the cluster redshift z = 0.228,  

Object #754   x,y = (1637, 4021)   RA, Dec = (06:03:31.080, 42:11:27.60) = (90.87950, 42.19100)   BPZ = 0.020 [0.010--1.588]   type = 11.00 (SB11_A_0_l)   stellarity = 1.00   chisq2 = 1007.00   ODDS = 0.89   z_cluster = 0.228