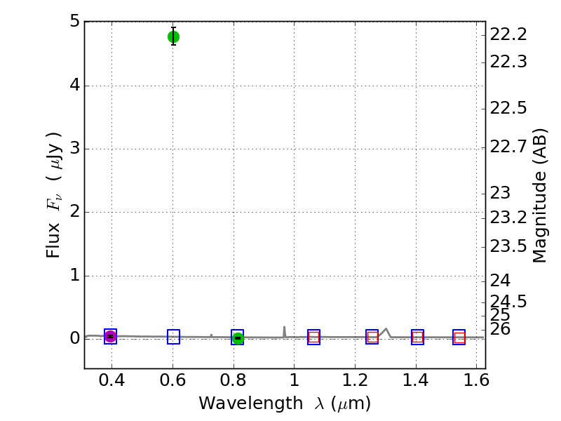
RXS0603+42-S IR detection object #7084

Color images and BPZ results
Catalog: 7084.cat
Black segments are analyzed here.   Roll mouse over color images to view segments.
Best viewed in a wide browser window (1200 pixels or more).   Download SED & P(z) plots to view larger versions.
In P(z) plots: Yellow lines mark the cluster redshift z = 0.228,  

Object #7084   x,y = (3240, 1066)   RA, Dec = (06:03:22.416, 42:08:30.12) = (90.84340, 42.14170)   BPZ = 1.596 [0.398--2.911]   type = 11.00 (SB11_A_0_l)   stellarity = 0.97   chisq2 = 1136.00   ODDS = 0.16   z_cluster = 0.228