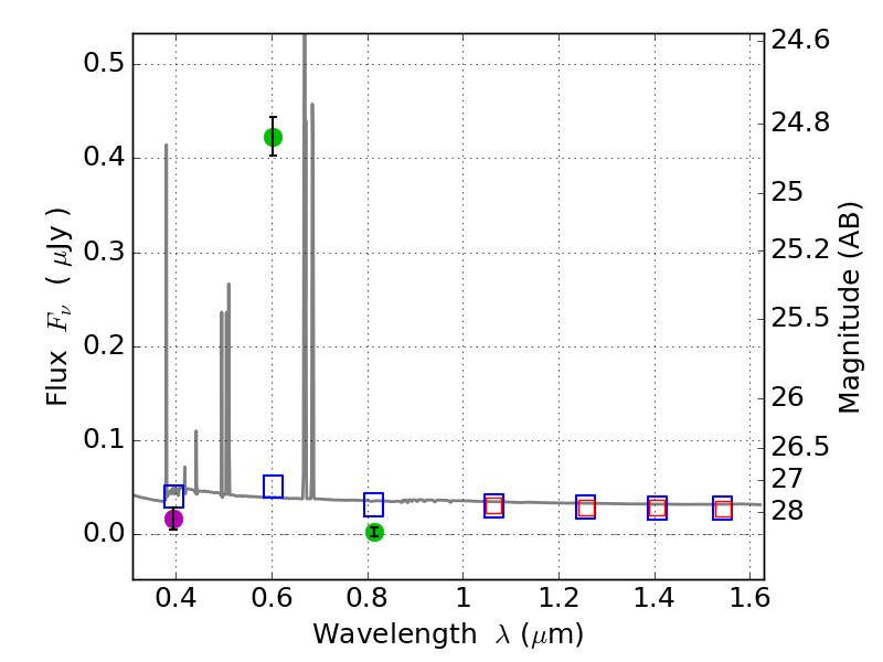
RXS0603+42-S IR detection object #7029

Color images and BPZ results
Catalog: 7029.cat
Black segments are analyzed here.   Roll mouse over color images to view segments.
Best viewed in a wide browser window (1200 pixels or more).   Download SED & P(z) plots to view larger versions.
In P(z) plots: Yellow lines mark the cluster redshift z = 0.228,  

Object #7029   x,y = (3219, 1103)   RA, Dec = (06:03:22.536, 42:08:32.64) = (90.84390, 42.14240)   BPZ = 0.022 [0.010--2.777]   type = 11.00 (SB11_A_0_l)   stellarity = 0.65   chisq2 = 349.30   ODDS = 0.91   z_cluster = 0.228