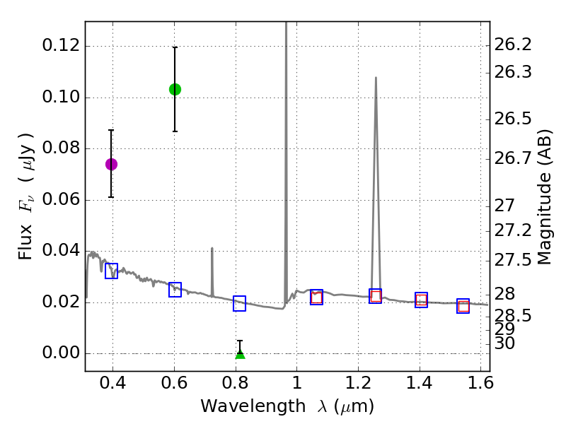
RXS0603+42-S IR detection object #7021

Color images and BPZ results
Catalog: 7021.cat
Black segments are analyzed here.   Roll mouse over color images to view segments.
Best viewed in a wide browser window (1200 pixels or more).   Download SED & P(z) plots to view larger versions.
In P(z) plots: Yellow lines mark the cluster redshift z = 0.228,  

Object #7021   x,y = (3211, 1109)   RA, Dec = (06:03:22.584, 42:08:33.00) = (90.84410, 42.14250)   BPZ = 1.594 [1.162--2.384]   type = 11.00 (SB11_A_0_l)   stellarity = 0.41   chisq2 = 45.27   ODDS = 0.29   z_cluster = 0.228