RXS0603+42-S IR detection object #6931

Color images and BPZ results
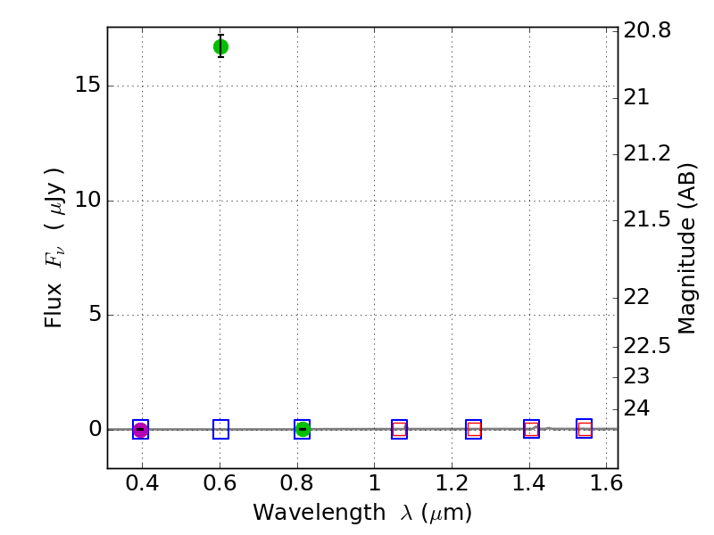
Catalog: 6931.cat
Black segments are analyzed here.   Roll mouse over color images to view segments.
Best viewed in a wide browser window (1200 pixels or more).   Download SED & P(z) plots to view larger versions.
In P(z) plots: Yellow lines mark the cluster redshift z = 0.228,  

Object #6931   x,y = (3024, 1160)   RA, Dec = (06:03:23.592, 42:08:35.88) = (90.84830, 42.14330)   BPZ = 1.158 [0.234--5.506]   type = 9.40 (SB2_B10 - SB3_B10)   stellarity = 0.93   chisq2 = 1147.00   ODDS = 0.05   z_cluster = 0.228