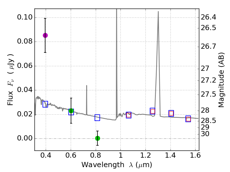
RXS0603+42-S IR detection object #6895

Color images and BPZ results
Catalog: 6895.cat
Black segments are analyzed here.   Roll mouse over color images to view segments.
Best viewed in a wide browser window (1200 pixels or more).   Download SED & P(z) plots to view larger versions.
In P(z) plots: Yellow lines mark the cluster redshift z = 0.228,  

Object #6895   x,y = (3146, 1184)   RA, Dec = (06:03:22.920, 42:08:37.32) = (90.84550, 42.14370)   BPZ = 1.597 [0.940--2.561]   type = 11.00 (SB11_A_0_l)   stellarity = 0.38   chisq2 = 23.48   ODDS = 0.23   z_cluster = 0.228